평균 구하기
문제 설명
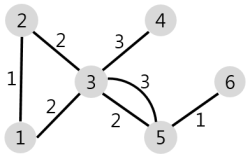
N개의 마을로 이루어진 나라가 있습니다. 이 나라의 각 마을에는 1부터 N까지의 번호가 각각 하나씩 부여되어 있습니다. 각 마을은 양방향으로 통행할 수 있는 도로로 연결되어 있는데, 서로 다른 마을 간에 이동할 때는 이 도로를 지나야 합니다. 도로를 지날 때 걸리는 시간은 도로별로 다릅니다. 현재 1번 마을에 있는 음식점에서 각 마을로 음식 배달을 하려고 합니다. 각 마을로부터 음식 주문을 받으려고 하는데, N개의 마을 중에서 K 시간 이하로 배달이 가능한 마을에서만 주문을 받으려고 합니다. 다음은 N = 5, K = 3인 경우의 예시입니다.

위 그림에서 1번 마을에 있는 음식점은 [1, 2, 4, 5] 번 마을까지는 3 이하의 시간에 배달할 수 있습니다. 그러나 3번 마을까지는 3시간 이내로 배달할 수 있는 경로가 없으므로 3번 마을에서는 주문을 받지 않습니다. 따라서 1번 마을에 있는 음식점이 배달 주문을 받을 수 있는 마을은 4개가 됩니다.
마을의 개수 N, 각 마을을 연결하는 도로의 정보 road, 음식 배달이 가능한 시간 K가 매개변수로 주어질 때, 음식 주문을 받을 수 있는 마을의 개수를 return 하도록 solution 함수를 완성해주세요.
제한 사항
- 마을의 개수 N은 1 이상 50 이하의 자연수입니다.
- road의 길이(도로 정보의 개수)는 1 이상 2,000 이하입니다.
- road의 각 원소는 마을을 연결하고 있는 각 도로의 정보를 나타냅니다.
- road는 길이가 3인 배열이며, 순서대로 (a, b, c)를 나타냅니다.
- a, b(1 ≤ a, b ≤ N, a != b)는 도로가 연결하는 두 마을의 번호이며, c(1 ≤ c ≤ 10,000, c는 자연수)는 도로를 지나는데 걸리는 시간입니다.
- 두 마을 a, b를 연결하는 도로는 여러 개가 있을 수 있습니다.
- 한 도로의 정보가 여러 번 중복해서 주어지지 않습니다.
- K는 음식 배달이 가능한 시간을 나타내며, 1 이상 500,000 이하입니다.
- 임의의 두 마을간에 항상 이동 가능한 경로가 존재합니다.
- 1번 마을에 있는 음식점이 K 이하의 시간에 배달이 가능한 마을의 개수를 return 하면 됩니다.
입출력 예
| N | arr | K | result |
| 5 | [[1,2,1], [2,3,3], [5,2,2], [1,4,2], [5,3,1], [5,4,2]] | 3 | 4 |
| 6 | [[1,2,1], [1,3,2], [2,3,2], [3,4,3], [3,5,2], [3,5,3], [5,6,1]] | 4 | 4 |
입출력 예 설명
입출력 예 #1
문제의 예시와 같습니다.
입출력 예 #2
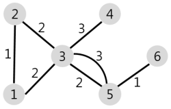
주어진 마을과 도로의 모양은 아래 그림과 같습니다.

1번 마을에서 배달에 4시간 이하가 걸리는 마을은 [1, 2, 3, 5] 4개이므로 4를 return 합니다.
Python 코드
플로이드워셜
def solution(N, road, K):
INF = 1000000000
answer = 0
graph = [[INF] * (N + 1) for _ in range(N + 1)]
for i in range(1, N + 1):
for j in range(1, N + 1):
if i == j:
graph[i][j] = 0
for r in road:
a, b, c = r[0], r[1], r[2]
if graph[a][b] > c:
graph[a][b] = c
graph[b][a] = c
for i in range(1, N + 1):
for j in range(1, N + 1):
for k in range(1, N + 1):
graph[j][k] = min(graph[j][k], graph[j][i] + graph[i][k])
for j in range(1, N + 1):
if graph[1][j] <= K:
answer += 1
return answer
다익스트라
from queue import PriorityQueue
def solution(N, road, K):
INF = 1000000000
answer = 0
distance = [INF] * (N + 1)
q = PriorityQueue()
q.put([1, 0])
distance[1] = 0
while not q.empty():
now, now_cost = q.get()
if now_cost > distance[now]: continue
for start, dest, cost in road:
next_cost = now_cost + cost
if start == now and next_cost < distance[dest]:
distance[dest] = next_cost
q.put([dest, next_cost])
elif dest == now and next_cost < distance[start]:
distance[start] = next_cost
q.put([start, next_cost])
for i in range(1, N + 1):
if distance[i] <= K:
answer += 1
return answer
* 참고 링크 : https://foameraserblue.tistory.com/86
C++ 코드
#include <vector>
#include <queue>
using namespace std;
vector<pair<int,int>> V[55];
vector<int> Dist;
int Min(int A, int B) { if (A < B) return A; return B; }
void Dijkstra(int N)
{
priority_queue<pair<int, int>> PQ;
PQ.push(make_pair(0, 1));
Dist[1] = 0;
while (PQ.empty() == 0)
{
int Cost = -PQ.top().first;
int Cur = PQ.top().second;
PQ.pop();
for (int i = 0; i < V[Cur].size(); i++)
{
int Next = V[Cur][i].first;
int nCost = V[Cur][i].second;
if (Dist[Next] > Cost + nCost)
{
Dist[Next] = Cost + nCost;
PQ.push(make_pair(-Dist[Next], Next));
}
}
}
}
int solution(int N, vector<vector<int> > road, int K)
{
Dist.resize(N + 1, 2e9);
for (int i = 0; i < road.size(); i++)
{
int N1 = road[i][0];
int N2 = road[i][1];
int Dist = road[i][2];
V[N1].push_back(make_pair(N2, Dist));
V[N2].push_back(make_pair(N1, Dist));
}
Dijkstra(N);
int answer = 0;
for (int i = 1; i <= N; i++)
{
if (Dist[i] <= K) answer++;
}
return answer;
}
* 참고 링크 : https://yabmoons.tistory.com/633
출처
'코딩테스트 > Programmers' 카테고리의 다른 글
| [Leet Code SQL] 180. Consecutive Numbers (0) | 2022.01.28 |
|---|---|
| [Leet Code] 611. Valid Triangle Number (0) | 2022.01.28 |
| [Leet Code] 162. Find Peak Element (0) | 2022.01.28 |
| [Leet Code] 374. Guess Number Higher or Lower (0) | 2022.01.28 |
| [코딩테스트/Programmers] 25_소수찾기 (Lv2.) (0) | 2022.01.25 |